由于碳纤维增强复合材料与涂层结构等材料或结构通过先进优化设计可获得优异的性能与功能,因此被广泛应用于航空航天、军事装备、风力发电等领域,例如碳纤维增强复合材料具有重量轻、耐腐蚀、抗拉强度高等优点,热障涂层由于其低热导率及优异抗腐蚀性可作为很好的热防护涂层。然而,其层状和非均匀微观结构使其在生产制造和使用过程中极易产生并扩展成为脱粘、分层等多种缺陷类型。因此,对该类材料或结构进行精确、快速、非破坏性的无损检测就成为保障先进装备可靠运行和排除其安全隐患的重要手段。光热成像作为一种非接触、高分辨率、高效且可全场测量的新型无损检测技术,为碳纤维增强复合材料与涂层结构的非破坏性无损检测提供了新方法与新技术。
近日,针对陶瓷/金属类涂层结构光热无损检测理论,太阳集团tyc33455官网张辉教授团队提出了基于格林函数法的半透明陶瓷涂层和两层不透明金属固体组成的三层陶瓷/金属复合结构的光热波模型。在该模型中,考虑了位于半透明陶瓷层内的空间变化体积热源和用狄拉克函数描述的内部界面热源。为了提高陶瓷/金属类涂层结构光热无损检测的信噪比和时空分辨率,也提出了一种先进的非线性调频激励波形,从而可实现陶瓷/金属类涂层结构的高精度、可靠光热无损检测。相关成果以“The photothermal wave field and high-resolution photothermal pulse compression thermography for ceramic/metal composite solids”为题发表于该领域知名期刊《Composite Structures》(10.1016/j.compstruct.2021.115069)。此外,为解决先进材料在欠采样情形下的次表面缺陷检测问题,提出了一种基于低秩张量填充法的新型光热无损检测技术,基于该技术并结合新提出的特征识别方法以进一步增强次表面缺陷的可视性。通过所提新型光热无损方法,可仅用少量的热图像序列便可实现碳纤维增强复合材料次表面缺陷的高精度、高分辨率检测。相关成果以“Enhanced CFRP defect detection from highly undersampled thermographic data via low-rank tensor completion-based thermography”为题发表于该领域知名期刊《IEEE Transactions on Industrial Informatics》(10.1109/TII.2022.3154786)。
研究背景
近年来光热无损检测技术,例如光热成像由于具有高对比度、非接触、非破坏性等突出优点正广泛应用于碳纤维增强复合材料和各种涂层类复合结构的无损检测。然而,由于研究对象往往比较复杂以及缺乏对其内部光热转化及扩散传播的本质认识,导致其检测精度和效率受到了极大限制;并进一步制约了先进研究手段的探索和应用。因此,开展对于多层复杂结构光热波场的研究就显得非常的必要和迫切,从而探索出更为先进的检测方法以推动工业材料或结构无损检测的进一步发展。此外,日益复杂的检测要求给现有的检测条件和技术带来了极大的挑战,例如薄半透明涂层的厚度评估、高频热成像以及微小缺陷的无损检测,均对现有检测方法以及检测系统提出了更高的检测要求。而发展先进的激励波形、先进的特征增强方法以及红外热像仪帧频提高技术,无疑为推动主动热成像技术的发展和进一步实际应用提供了有力的技术支撑。因此,开展对先进材料或结构的光热无损检测理论和关键技术研究具有十分重要的研究价值和现实意义。
研究亮点
当强度调制宽光束入射到图1所示的由半透明陶瓷涂层和两层不透明金属固体(粘合层和基底)组成的复合实体时,基于光热转换效应,所吸收的光子密度波将在其内部产生热波。由于复杂的光学吸收和散射过程,通常在半透明陶瓷涂层内形成空间变化的体积热源,在位于半透明陶瓷涂层和不透明金属粘合层之间的内部界面处产生由纯光吸收过程引起的内部界面热源(空间脉冲热源)。因此,所研究涂层结构的光热波特性由半透明陶瓷涂层的光热物理特性及其内部的光热波干涉现象、不透明粘结层和基底的热物理特性等决定。

图1 含次表面缺陷的三层陶瓷/金属类涂层结构光热波扩散示意图
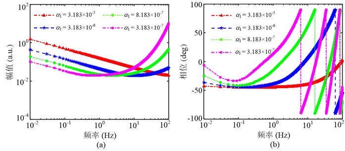
由于在高散射半透明介质内的多重散射现象通常比较复杂,特别是半透明介质近表面(薄层)内部的光子密度波场,目前仍缺少可准确描述其内部光子密度波场分布的模型。为此,基于已提出的Beer-Lambert定律扩展模型,并结合格林函数法,建立了该类涂层结构的光热波传播耦合模型,其热波特性与陶瓷层热扩散系数的关系如图2所示。该模型由于既准确描述了陶瓷层内部空间变化体积热源,还考虑了由于陶瓷层与粘结层间显著光吸收差异所诱使的内部界面热源,因此具有很高准确性和清晰物理意义。

图2 热波响应(a)幅值和(a)相位与半透明陶瓷层热扩散系数间的关系
对于该类涂层结构次表面脱粘缺陷的高分辨率检测一直是该领域的难点和挑战,为实现对该类结构次表面脱粘缺陷的高精度光热无损检测,提出了非线性频率调制(CCNLFM)波形以提高信噪比、空间分辨率,此外,探索了不同窗函数对脉冲压缩质量的影响,具体如图3所示。可观察到所提出的CCNLFM非线性调频激励波形结合最佳窗函数(Gausswin)可获得远好于线性调频波形和二进制巴克码(Barker)波形的脉冲压缩质量,具有最高的信噪比和空间分辨率。

图3 所提波形在(a)不使用窗函数和(b)使用最佳窗函数时的匹配滤波输出对比
在实际热像成像中,为了显著降低热图像序列的采集量,或者在不损失热像分辨率的情况下仍能提高成像速度,通常会遇到热图像序列采样不足或缺失的问题。为此,我们提出使用低秩张量填充法来实现仅用少量已有热图像序列恢复其中的缺失项,图4为不同缺失程度下脉冲热成像模态(上)与锁相热成像模态(下)的重建结果。此外,使用光热无损检测技术测量薄涂层以及高频热成像应用中,往往需要远高于目前常用红外热像仪的帧频,为此,基于低秩张量填充法进一步提出了低秩张量填充与时间插值融合算法的光热无损检测技术,可将常用红外热像仪帧频提高10倍以上。

图4 不同缺失程度下脉冲热成像模态(上)与锁相热成像模态(下)重建结果
为了进一步增强上述重建结果中碳纤维增强复合材料次表面缺陷的可视性,并分别提出了快速随机稀疏主成分热成像(FRSPCT)和二维主成分热成像(TDPCT)的两种先进的特征识别方法,发现可仅用少量的热图像序列便可实现碳纤维增强复合材料次表面缺陷的高精度、高分辨率检测。

图5 脉冲热成像模态(上)与锁相热成像模态(下)的多特征识别结果
总结与展望
本研究首先基于Beer- Lambert定律扩展模型,并结合格林函数法,提出了陶瓷/金属类复合结构的光热波耦合模型,利用该模型可揭示该类结构中光热传播机制,为该类结构的光热无损检测提高理论基础和依据。为实现该类结构次表面缺陷的高精度无损检测,也提出了一种先进的非线性调频激励波形,该波形相较于传统波形具有显著好的脉冲压缩质量。为解决光热无损检测技术在热图像序列采集和评估薄涂层厚度等方面限制,提出了基于低秩张量填充法的光热成像检测技术,可极大地降低采集过程中热图像序列数和提高常用红外热像仪的帧频。最后,又提出了快速随机稀疏主成分热成像(FRSPCT)和二维主成分热成像(TDPCT)这两种先进的特征识别方法以进一步增强低秩张量填充算法重建结果中的次表面缺陷的可视性。未来工作将进一步应用上述光热检测理论与方法对薄陶瓷层厚度和小尺寸缺陷进行快速、高精度、可靠评价。
上述研究工作均得到了国家自然科学基金、江苏省重点研发计划及太阳集团tyc33455官网优秀博士论文培育基金的支持。太阳集团tyc33455官网张辉教授为上述研究的通讯作者,太阳集团tyc33455官网博士生罗志涛为上述研究的第一作者。

